聚乙撑二氧噻吩-聚(苯乙烯磺酸盐)cas: 155090-83-8 , PEDOT:PSS

聚乙撑二氧噻吩-聚(苯乙烯磺酸盐)cas: 155090-83-8 , PEDOT:PSS

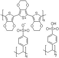
聚二氧乙基噻吩聚对苯乙烯磺酸,Poly(3,4-ethylenedioxythiophene)-poly(styrenesulfonate)

产品介绍

聚乙撑二氧噻吩-聚(苯乙烯磺酸盐)cas: 155090-83-8 , PEDOT:PSS ,聚二氧乙基噻吩聚对苯乙烯磺酸,Poly(3,4-ethylenedioxythiophene)-poly(styrenesulfonate),蓝色液体分散液 溶于水、DMF、DMSO、异丙醇等
聚乙撑二氧噻吩-聚(苯乙烯磺酸盐)cas: 155090-83-8 , PEDOT:PSS
参数信息
外观状态: 固体或粉末
质量指标: 95%+
溶解条件: 有机溶剂/水
CAS号: N/A
分子量: N/A
储存条件: -20℃避光保存
储存时间: 1年
运输条件: 室温2周
生产厂家: 上海金畔生物科技有限公司