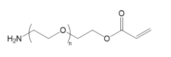
氨基-聚乙二醇-丙烯酸酯NH2-peg-Acrylates

氨基-聚乙二醇-丙烯酸酯NH2-peg-Acrylates

发布时间:2022-03-25 | NH2-PEG-AC,Acrylate PEG Amino,氨基PEG丙烯酸酯,丙烯酸酯PEG氨基,丙烯酸酯聚乙二醇胺,PEG衍生物可选分子量为550,750,1000,2000,3400,5000,10000

产品介绍

氨基-聚乙二醇-丙烯酸酯NH2-peg-Acrylates

NH2-PEG-AC,

Acrylate PEG Amino,

氨基PEG丙烯酸酯,

丙烯酸酯PEG氨基,

丙烯酸酯聚乙二醇胺,

PEG衍生物可选分子量为550,750,1000,2000,3400,5000,10000

存储条件 -20°冷冻,干燥避光
产地:上海
包装:10mg,25mg,50mg,100mg,500mg,1g,5g,10g
用途:科研
货期:现货/定制时间长
级别:化学纯
供应商:上海金畔生物科技有限公司
说明:提供使用说明,核磁图谱,包装,价格,产地,制备方法,应用,稳定性,溶解度,简单合成等各种信息

氨基-聚乙二醇-丙烯酸酯NH2-peg-Acrylates
参数信息
外观状态: 固体或粉末
质量指标: 95%+
溶解条件: 有机溶剂/水
CAS号: N/A
分子量: N/A
储存条件: -20℃避光保存
储存时间: 1年
运输条件: 室温2周
生产厂家: 上海金畔生物科技有限公司