mPEG-SS-PLGA-COOH 甲氧基聚乙二醇-二硫键-聚乳酸羟基乙酸共聚物-羧基

mPEG-SS-PLGA-COOH 甲氧基聚乙二醇-二硫键-聚乳酸羟基乙酸共聚物-羧基

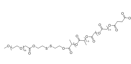
发布时间:2022-04-06 Methoxy-poly(ethylene glycol)-SS-poly(lactic-co-glycolic acid)-carboxyl,mPEG-SS-PLGA-COOH MW:5000,5000,PLGA:50/50是甲氧基的聚乙二醇5000通过双硫键和PLGA链接,PLGA末端带有COOH的活性基团

产品介绍

mPEG-SS-PLGA-COOH 甲氧基聚乙二醇-二硫键-聚乳酸羟基乙酸共聚物-羧基

 

产地:上海
包装:mg与g级别
快递:顺丰,圆通,申通等
包装:瓶装
供应商:上海金畔生物科技有限公司

mPEG-SS-PLGA-COOH 甲氧基聚乙二醇-二硫键-聚乳酸羟基乙酸共聚物-羧基
参数信息
外观状态: 固体或粉末
质量指标: 95%+
溶解条件: 有机溶剂/水
CAS号: N/A
分子量: N/A
储存条件: -20℃避光保存
储存时间: 1年
运输条件: 室温2周
生产厂家: 上海金畔生物科技有限公司