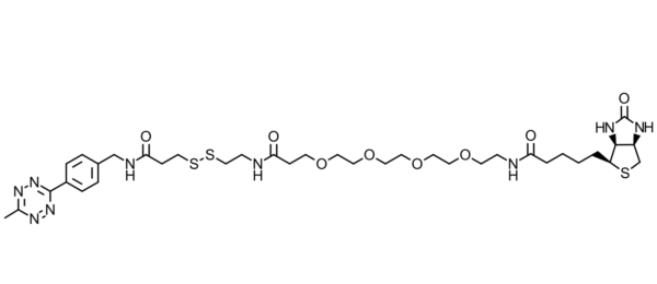
Methyltetrazine-SS-PEG4-Biotin

Methyltetrazine-SS-PEG4-Biotin

发布时间:2022-03-25 分子式:C36H55N9O8S3,分子量:838.08,纯度:>90%

产品介绍

Methyltetrazine-SS-PEG4-Biotin

分子式:C36H55N9O8S3,

分子量:838.08,

纯度:>90%

产地:上海
纯度:99%
用途:仅用于科研
以上资料来自小编2022.03.25
温馨提示:仅用于科研,不能用于人体实验!

Methyltetrazine-SS-PEG4-Biotin
参数信息
外观状态: 固体或粉末
质量指标: 95%+
溶解条件: 有机溶剂/水
CAS号: N/A
分子量: N/A
储存条件: -20℃避光保存
储存时间: 1年
运输条件: 室温2周
生产厂家: 上海金畔生物科技有限公司