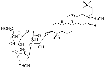
柴胡皂苷I,[16β,28-Dihydroxy-9,11,12,13-tetradehydroole-3β-yl]4-O-(6-deoxy-α-L-mnopyrosyl)-6-O-(β-D-glucopyrosyl)-β-D-glucopyroside
产品介绍
[16β,28-Dihydroxy-9,11,12,13-tetradehydroole-3β-yl]4-O-(6-deoxy-α-L-mnopyrosyl)-6-O-(β-D-glucopyrosyl)-β-D-glucopyroside
| 参数信息 | |
|---|---|
| 外观状态: | 固体或粉末 |
| 质量指标: | 95%+ |
| 溶解条件: | 有机溶剂/水 |
| CAS号: | N/A |
| 分子量: | N/A |
| 储存条件: | -20℃避光保存 |
| 储存时间: | 1年 |
| 运输条件: | 室温2周 |
| 生产厂家: | 上海金畔生物科技有限公司 |