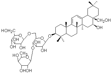
柴胡皂苷G,[(4R)-16β,23,28-Trihydroxy-9,11,12,13-tetradehydroole-3β-yl]3-O-(β-D-glucopyrosyl)-6-deoxy-β-D-galactopyroside
产品介绍
分子式:C42H68O13 分子量:0
| 参数信息 | |
|---|---|
| 外观状态: | 固体或粉末 |
| 质量指标: | 95%+ |
| 溶解条件: | 有机溶剂/水 |
| CAS号: | N/A |
| 分子量: | N/A |
| 储存条件: | -20℃避光保存 |
| 储存时间: | 1年 |
| 运输条件: | 室温2周 |
| 生产厂家: | 上海金畔生物科技有限公司 |