Hylauronic acid-NHS;HA-NHS;活性酯修饰透明质酸钠

Hylauronic acid-NHS;HA-NHS;活性酯修饰透明质酸钠

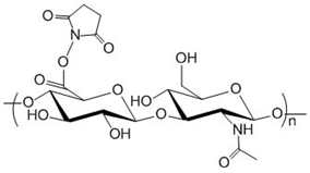
Hyaluronate-NHS, NHS-HA, Hyaluronate改性我们可以修饰活性酯NHS,NH2氨基,生物素Biotin,叠氮N3,醛基CHO,巯基Thiol-SH, 马来酰亚胺MAL等等。

产品介绍

上海金畔生物科技有限公司生产销售“Hylauronic acid-NHS;HA-NHS;活性酯修饰透明质酸钠”“Hyaluronate-NHS, NHS-HA, Hyaluronate改性我们可以修饰活性酯NHS,NH2氨基,生物素Biotin,叠氮N3,醛基CHO,巯基Thiol-SH, 马来酰亚胺MAL等等。”,该产品仅用于科研,如果需要请联系我们
Hylauronic acid-NHS;HA-NHS;活性酯修饰透明质酸钠
参数信息
外观状态: 固体或粉末
质量指标: 95%+
溶解条件: 有机溶剂/水
CAS号: N/A
分子量: N/A
储存条件: -20℃避光保存
储存时间: 1年
运输条件: 室温2周
生产厂家: 上海金畔生物科技有限公司