4-硝基苯基 3-O-(2,3,4,6-O-四乙酰基-α-D-吡喃苷露糖苷)-4,6-O-环亚己基-β-D-吡喃苷露糖苷

4-硝基苯基 3-O-(2,3,4,6-O-四乙酰基-α-D-吡喃苷露糖苷)-4,6-O-环亚己基-β-D-吡喃苷露糖苷

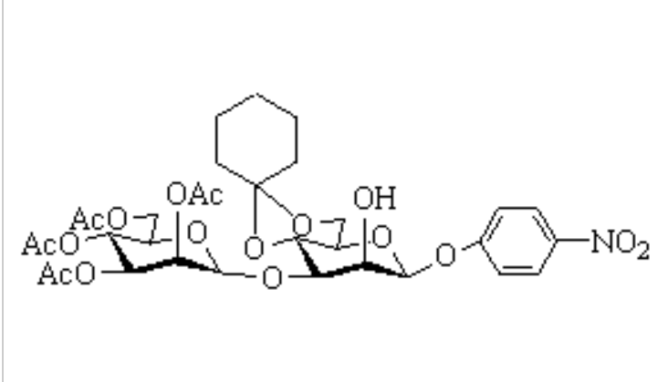
4-硝基苯基 3-O-(2,3,4,6-O-四乙酰基-α-D-吡喃苷露糖苷)-4,6-O-环亚己基-β-D-吡喃苷露糖苷,分子式:C32H41NO17,分子量:711.66

产品介绍

上海金畔生物科技有限公司生产销售“4-硝基苯基 3-O-(2,3,4,6-O-四乙酰基-α-D-吡喃苷露糖苷)-4,6-O-环亚己基-β-D-吡喃苷露糖苷”“4-硝基苯基 3-O-(2,3,4,6-O-四乙酰基-α-D-吡喃苷露糖苷)-4,6-O-环亚己基-β-D-吡喃苷露糖苷,分子式:C32H41NO17,分子量:711.66”,该产品仅用于科研,如果需要请联系我们
4-硝基苯基 3-O-(2,3,4,6-O-四乙酰基-α-D-吡喃苷露糖苷)-4,6-O-环亚己基-β-D-吡喃苷露糖苷
参数信息
外观状态: 固体或粉末
质量指标: 95%+
溶解条件: 有机溶剂/水
CAS号: N/A
分子量: 711.66
储存条件: -20℃避光保存
储存时间: 1年
运输条件: 室温2周
生产厂家: 上海金畔生物科技有限公司