1-脱氧-1-硝基-D-甘露醇,cas14199-83-8

1-脱氧-1-硝基-D-甘露醇,cas14199-83-8

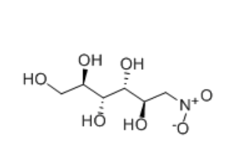
1-DEOXY-1-NITRO-D-MANNITOL,MF:C6H13NO7,MW:211.17

产品介绍

上海金畔生物科技有限公司生产销售“1-脱氧-1-硝基-D-甘露醇,cas14199-83-8”“1-DEOXY-1-NITRO-D-MANNITOL,MF:C6H13NO7,MW:211.17”,该产品仅用于科研,如果需要请联系我们
1-脱氧-1-硝基-D-甘露醇,cas14199-83-8
参数信息
外观状态: 固体或粉末
质量指标: 95%+
溶解条件: 有机溶剂/水
CAS号: 14199-83-8
分子量: 211.17
储存条件: -20℃避光保存
储存时间: 1年
运输条件: 室温2周
生产厂家: 上海金畔生物科技有限公司