阿那格雷-13C3,Anagrelide-13C3

阿那格雷-13C3,Anagrelide-13C3

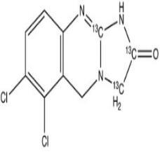
Anagrelide-13C3,分子式:C7(13C)3H7Cl2N3O 分子量:259.07

产品介绍

阿那格雷-13C3 分子式:C7(13C)3H7Cl2N3O 分子量:259.07 简介:阿那格雷-13C3是一种同位素标记的III型磷酸二酯酶抑制剂(IC50 = 36 nM)。这种药剂通过抑制巨核细胞成熟能够有效的使血小板减少,也能够抑制血小板聚集。
阿那格雷-13C3,Anagrelide-13C3
参数信息
外观状态: 固体或粉末
质量指标: 95%+
溶解条件: 有机溶剂/水
CAS号: N/A
分子量: N/A
储存条件: -20℃避光保存
储存时间: 1年
运输条件: 室温2周
生产厂家: 上海金畔生物科技有限公司