UDP-6-N3-GalNAc

UDP-6-N3-GalNAc

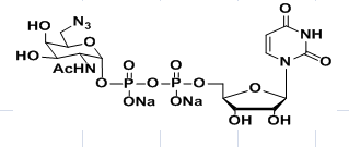
UDP-6-N3-GalNAc;叠氮修饰N-乙酰半乳糖胺;DP-6-N3-GalNAc ;UDP-GALNAC;cas7277-98-7

产品介绍

UDP-6-N3-GalNAc

叠氮修饰N-乙酰半乳糖胺

UDP-6-N3-GalNAc

UDP-GALNAC

cas7277-98-7

多肽N-乙酰氨基半乳糖转移酶

叠氮修饰N-乙酰半乳糖胺

产地:上海

纯度:99%

用途:仅用于科研

供应商:上海金畔生物科技有限公司

UDP-6-N3-GalNAc
参数信息
外观状态: 固体或粉末
质量指标: 95%+
溶解条件: 有机溶剂/水
CAS号: N/A
分子量: N/A
储存条件: -20℃避光保存
储存时间: 1年
运输条件: 室温2周
生产厂家: 上海金畔生物科技有限公司